beat365在线体育官网成立于2017年,是在2002年成立的西北大学化工学院食品工程系的基础上,汇集西北农林科技大学食品科学与工程、西北大学食品科学与工程、生命科学等相关专业的师资力量组建而成。学院现有二级学科博士点1个,一级学科硕士点1个,二级学科硕士点1个。 学院现有专职教师45人,其中教授9人,副教授21人,讲师15人,100%的教师具有博士学位,80%的教师有海外留学经历。教师队伍中有原国务院学位委员会学科评议组专家1人,享受国务院特殊津贴专家1人,教育部新世纪人才2人,陕西省“三五”人才1人,陕西省科技创新领军人才2人和陕西青年科技奖获得者2人。学院拥有“朱蓓薇院士工作站”、“陕西省食品安全风险识别控制技术研究中心”、“陕西省营养健康食品个性制造工程实验室”、“陕西省食品安全与营养健康创新转化平台”和“陕西省蜂产品工程技术研究中心”、“陕西省天然多糖资源利用工程研究中心”等科研平台...
动态旋转流变仪
品牌:奥地利安东帕 (Anton Paar)
型号:Anton Paar MCR302
所在实验室:6206
联系人:马天琛 029-88302460
性能特点:
1. 旋转下最小扭矩:1nN.m
2. 振荡下最小扭矩:0.5nN.m
3. 最大扭矩:200mN.m
4. 扭矩分辨率:0.1nN.m
5. 角位移分辨率:10nrad
6. 旋转下最小转速:0.0000001rpm/min
7. 旋转下最大转速:3000rpm/min
8. 最小角频率:0.0000001rad/s
9. 最大角频率:628rad/s
10. 法向力范围:0.005-50N
11. 温度范围:帕尔贴加热 -20-200℃
应用范围:
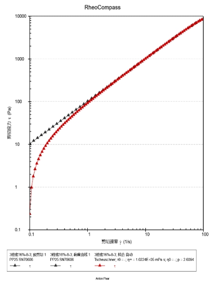
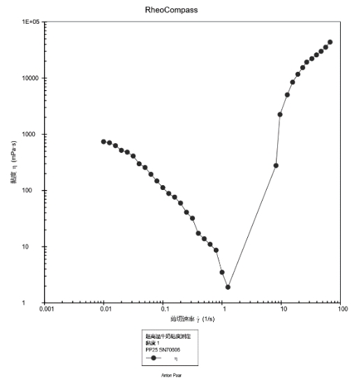
用于测试液体样品的流变学性质,如:聚合物熔体、聚合物溶液、胶体、乳液、悬浮液、表面活性剂、乳化剂、增稠剂、原油、盐溶液、碱溶液、驱油液等,可以测试粘度、剪切应力、流动曲线、粘度曲线、粘温曲线、屈服应力、触变性、粘弹性(储能模量\损耗模量)等各种重要的流变学参数。
效果展示:
上一条:自动薄膜封口机(6204) 下一条:激光粒度分布仪(6206)